哌庫溴銨對照品
英文名稱:Pipecuronium Bromide
類別:化學對照品
批號:101367-201701
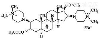
結構式:

分子式:C35H62Br2N4O4
分子量:762.7
用途:供含量測定用。本品僅供國家藥品標準對應項下檢驗檢測用。
特性量值:供高效液相色譜法測定,按C35H62Br2N4O4計,含量為97.0%。
使用方法:使用前不需干燥處理。
包裝:棕色安瓿
規格:100mg/支
貯藏:避光, 2-8℃保存。
注意事項:本品極具引濕性,相對濕度小于 60%以下稱量,打開包裝后一次性使用完畢。
有效期:國家藥品標準物質不設具體有效期,按照規定條件保存的標準物質,在中檢所發布停用通知前有效。